板式链
对于链条而言,叉车和堆高机都是非常特殊的应用设备,每天需要不间断的往返载运各种大吨位的物质,并在重载的情况下做高频率的横移和升降操作。板式链条是叉车上的安全件,其耐用性有利于提高用户的工作效率和降低维护成本,而且其可靠性直接关系到重大财产安全和人身安全。
板式链是由多片链板与销轴组合而成,这种结构决定了板式链相比于其它链条,具有更大的强度/重量比,承载能力大,承受冲击能力强,维护简单。
CHJC为板式链这一传统的机械基础件赋予了一种全新的概念和功能,从而确保你的设备拥有更长的使用寿命、更高级别的安全性能和低的维护成本。

天美传媒在板式链条的研发制造过程中,秉承“一切为了安全”的理念,从6大方面严把板式链条品质关,天美传媒板式链条一直以耐磨、高强度、长寿命而广受客户的赞誉。

仅选用高等级的材料
根据我们的实践经验,不同钢厂出品的原材料,即使是同样的钢材牌号、类似的钢材元素,采用相同的精加工、热处理及装配工序制造出来的链条,在疲劳载荷方面的表现差异也非常大。天美传媒的板式链条仅选用特定钢厂的高质量原材料,以保障板式链条的品质稳定性。
自主知识产权的高精模具孔径质量、节距散差、孔光亮带等链片关键点,是链片承载一致性、链条牢固度和疲劳性能的关键要素。天美传媒采用特定的高精度模具加工零件,链片孔的光亮带确保在80%以上。
高质量的热处理和表处理天美传媒采用先进技术的连续式网带炉加工链条零部件,保证零部件热处理的高质量和一致性。天美传媒板式链链条的零部件,全部采用钢丸喷丸处理,进一步提高了链条的疲劳强度。
光学影像检测天美传媒板式链条的销轴,实现100%光学检测,彻底杜绝了传统依靠人眼识别不良品而带来的品质风险。利用光学检测技术对产品的缺件、装配不良等方面再次检测。
全自动装配和在线检测线由天美传媒自主研制的全自动装配和在线检测线,集组装、机械式缺件检测、磁感应缺件检测、长短销检测、静态预拉、铆合、上油、拆节等工序于一体,大大提高了生产效率,降低了品质对人的依赖度。
所有链条都在预拉。高质量的预位不公有效提高链条的初期伸长及疲劳强度,同时也具有链条校直的作用。
品质追溯系统天美传媒板式链全面实施精准生产模式,制造和品管数据全部储存于集团EAS系统,可按需要实现品质追溯,直至原材料供方和材料批号。
我们可根据客户需要提供卷装链条和带螺杆链条。
快速响应
天美传媒有独立的板式链制造部门和专职营销队伍,并有相应量备货,能快速响应客户的需求。
全系列叉车链条及附件
天美传媒能提供全系列叉车链条及附件,包括AL系列、BL系列和LL系列板式链、液压油泵齿形链、带油管导槽链条、带螺杆链条。此外,根据不同的叉车作业环境,我们向客户分别推荐磷化发黑、达克罗、钢本色3类不同的产品。
定制开发
天美传媒已为多家主机厂提供链条及附件定制开发,并提供润滑防锈方面的综合方案。
AL系列板式链的零件源于ANSI滚子链标准,链板的外形尺寸和销轴直径等同于同节距滚子链的外链板和销轴,是一种轻系列板式链。适于直线往返传动结构。
表内最小抗拉强度值不是板式链的工作载荷。在提升应用时,设计者或使用者要给予一个至少为5:1的安全系数。

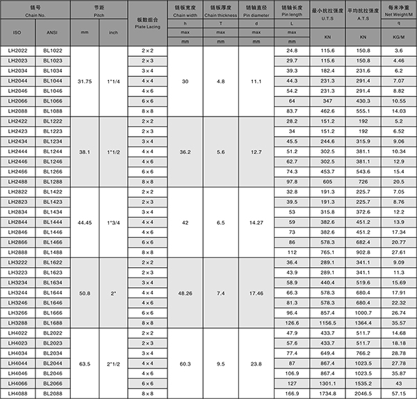
BL系列板式链的零件源于ANSI滚子链标准,链板的外形尺寸等同于同节距滚子链的外链板,但链板的厚度加厚,销轴的直径加大,因此是一种重系列板式链。适于直线往返传动结构。
表内最小抗拉强度值不是板式链的工作载荷。在提升应用时,设计者或使用者要给予一个至少为5:1的安全系数。


LL系列板式链的零件源于BS滚子链标准,链板的外形尺寸和销轴直径等同于同节距滚子链的外链板和销轴,是一种轻系列板式链。适于直线往返传动结构。
表内最小抗拉强度值不是板式链的工作载荷。在提升应用时,设计者或使用者要给予一个至少为5:1的安全系数。

带油管导槽链
根据不同的叉车作业环境,我们向客户分别推荐磷化发黑、达克罗、钢本色3类链条,以及镀铬和磷化发黑2类螺杆。
实践证明,钢本色链条和磷化发黑链条能满足绝大部分工作环境的要求。其中,磷化发黑链条具有较高的防锈性能,中性盐雾试验结果显示,防锈时间可达60-80小时,不仅大大超过镀锌的防锈效果,也避免了电镀链条可能产生的脆性。
达克罗链条具有良好的防腐蚀性能,特别适用于潮湿环境或对锈蚀特别敏感的工作环境,比如食品等领域。中性盐雾试验结果显示,达克罗链条的防锈时间达到500小时以上。
叉车液压油泵齿链









